Blogger
Flickr
Aritmética
Desigualdades
Números enteros y decimales
Operaciones con fracciones
Raíces
Razones y proporciones
Algebra
ecuación cuadrática
ecuación lineal 1 incógnita
ecuación lineal 2 incógnitas
ecuación lineal 3 incógnitas
exponentes y radicales
factorización
Lenguaje Algebraico
polinomios
productos notables
Sucesiones y Series
Geometría y Trigonometría
ángulos
circunferencia
Funciones trigonométricas
Ley de Senos y Cosenos
polígonos
triángulos
Funciones
Ecuación Logarítmica
Funciones Algebraicas
Funciones Periódicas
Funciones Trascendentes
Operaciones con funciones
Cálculo Diferencial
Derivadas Algebraicas
Derivadas Implícitas
Derivadas sucesivas o de Orden superior
Derivadas Trascendentes
Limites
Máximos y mínimos
Puntos de inflexión y concavidad
Razón de cambio
Cálculo Integral
Artificios de Integración
diferenciales
Integral Definida
Integrales Algebraicas
Integrales con polinomios
Integrales Trascendentes
Buscar
Profe Fily
Aritmética
Todo
Desigualdades
Números enteros y decimales
Operaciones con fracciones
Raíces
Razones y proporciones
Proporcionalidad Inversa
Proporcionalidad Directa
Razón y proporción matemática
Ejercicios de aplicación con números fraccionarios
Algebra
Todo
ecuación cuadrática
ecuación lineal 1 incógnita
ecuación lineal 2 incógnitas
ecuación lineal 3 incógnitas
exponentes y radicales
factorización
Lenguaje Algebraico
polinomios
productos notables
Sucesiones y Series
Ejercicios de Sucesiones y Series
Sucesiones y Series Geométricas
Sucesiones y Series Aritméticas
Traducir lenguaje común al lenguaje algebraico
Geometría y Trigonometría
Todo
ángulos
circunferencia
Funciones trigonométricas
Ley de Senos y Cosenos
polígonos
triángulos
Ángulos coterminales
Calcular ángulos notables de 0, 30, 45, 60 y 90 grados
Calcular funciones trigonométricas a partir de una de ellas
Funciones trigonométricas en triángulos rectángulos
Funciones
Todo
Ecuación Logarítmica
Funciones Algebraicas
Funciones Periódicas
Funciones Trascendentes
Operaciones con funciones
Dominio y Rango de funciones polinomiales
Amplitud, periodo y frecuencia de una función periodica
Solución de ecuaciones logarítmicas
Convertir logaritmo a forma exponencial y viceversa
Cálculo Diferencial
Todo
Derivadas Algebraicas
Derivadas Implícitas
Derivadas sucesivas o de Orden superior
Derivadas Trascendentes
Limites
Máximos y mínimos
Puntos de inflexión y concavidad
Razón de cambio
Límites por sustitución directa
Límites por racionalización
Limites por factorización
Máximos y Mínimos problemas de optimización
Cálculo Integral
Todo
Artificios de Integración
diferenciales
Integral Definida
Integrales Algebraicas
Integrales con polinomios
Integrales Trascendentes
Integral definida
Integral por partes factores cuadráticos distintos
Primer Teorema Fundamental del Cálculo
Descomposición de fracciones parciales con factor lineal no repetido
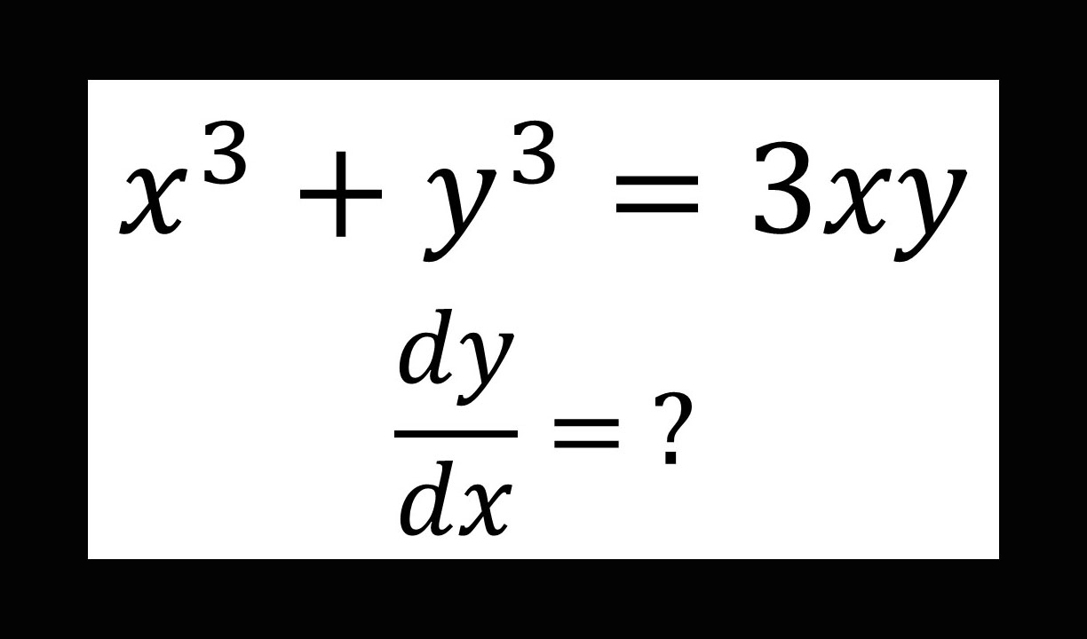
derivacion implicita
El clima hoy
Coatzintla
nubes
enter location
20.4
°
C
20.4
°
20.4
°
91 %
1.9kmh
100 %
Dom
22
°
Lun
29
°
Mar
35
°
Mié
39
°
Jue
32
°
Tendencias
Sucesiones y Series Aritméticas
octubre 15, 2020
Derivada de un producto de funciones
diciembre 21, 2017
Categorias
ecuación cuadrática
9
Operaciones con fracciones
9
Artificios de Integración
8
circunferencia
8
Aritmética 2
8
factorización
8
Te recomendamos leer:
Ejercicios de Sucesiones y Series
Filiberto Cortés Leal
-
octubre 19, 2020
4