Últimas entradas
Libros, apuntes y publicaciones de matemáticas y otras áreas en formato PDF.
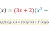
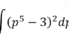
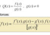
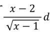
ARITMÉTICA BÁSICA
ÚLTIMAS NOTICIAS
Frente frío No. 23 en Coatzintla, Ver.
El frente frío numero 23 que impera en el estado de Veracruz, independientemente de que las autoridades que monitorean el clima nos avisaron que llegaría la naturaleza también nos lo hizo saber. Quienes de...
Almacenamiento digital en Discos Duros Externos de 2.5″
Actualmente el mundo digital avanza aceleradamente, demasiada información que elaborar como una carta, un oficio, una foto, etcétera. Son tantos los documentos que se va creando con el tiempo que se llega a la...
Cobaev 32 Nivel 1 en el PBC-SiNEMS
https://www.youtube.com/watch?v=3lArBzzwRcw
Cobaev 32 Coatzintla, primer bachillerato del estado de Veracruz
en obtener el Nivel 1 del PBC-SiNEMS.
VIDEO PROMOCIONAL Noviembre 2017
Cobaev 32 Coatzintla alcanza Nivel 1 SNB
El Cobaev 32 del municipio de Coatzintla, Ver., logró el pronunciamiento favorable del Padrón de Buena Calidad del Sistema Nacional de Educación Media Superior (PBC-SiNEMS) para alcanzar el Nivel 1, del cual solamente 59...
Neblina matutina en Coatzintla, Ver.
Una mañana fresca y relajante.
De esas mañanas en que la niebla pocas veces se presenta y que cuando sucede, se antoja tomar un café calientito e invita a la reflexión de los cambios que la...
Fotos… recuerdos en nuestra mente o en algún medio digital.
¿Qué pasará con mis fotos cuando me muera?
Actualmente algunos momentos de nuestra vida los consideramos importantes y queremos conservarlos en una fotografía, pero al no contar con una cámara fotográfica, solo nos queda guardarlos...



































